전북대학교 SW중심대학사업단

National Program of Excellence Software글로벌 SW경쟁력을 주도하는 혁신적 SW인재양성

공지사항

2025학년도 상반기 SW전공 J-Point 장학생 선발 결과 안내
관리자2025-07-14조회 770





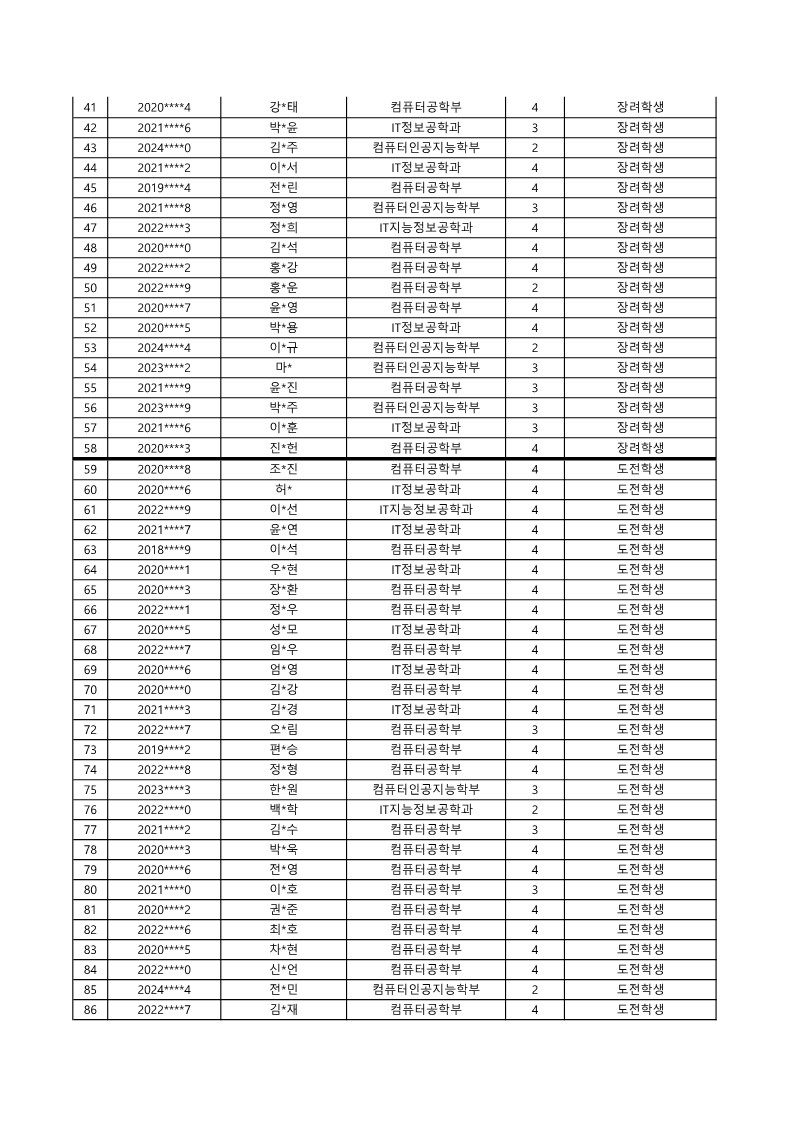
2025학년도 상반기 SW중심대학사업단 SW전공 J-Point 장학생 선발 결과를 안내 드립니다.


이번 선발은 사업단에서 신청 절차 간소화로 인하여 장학금이 부여된 모든 재학생을 대상으로 선발하였으며, 선발 인원 확대에 따라 인원 조정을 했습니다. 

선발되신 분들께는 오아시스 상 메일 주소로 장학금 서류 제출 안내를 드렸으니 확인하신 후 기한 내에 서류를 제출하여 주시기 바랍니다.



「2025학년도 상반기 SW전공 J-Point 장학생 선발」에 관심 가셔주신 분들께 감사 드리며 한 학기동안 수고 많으셨습니다:)

앞으로도 사업단에 많은 관심과 참여 부탁드립니다.


감사합니다.